Service Hotline
0086-13777722188
Home
Laurence Group
About us
Certificate
Culture
Environment
History
News Center
News
Exhibition
Product Center
Company
Contact Us
中文
PRODUCT
Home
>>
CABLE& WIRE
>>
ALUMINIUM CONDUCTOR STEEL REINFORCED-ACSR
Product
Categories
ALUMINIUM CONDUCTOR STEEL REINFORCED-ACSR
Publish time 2019-03-01 14:33
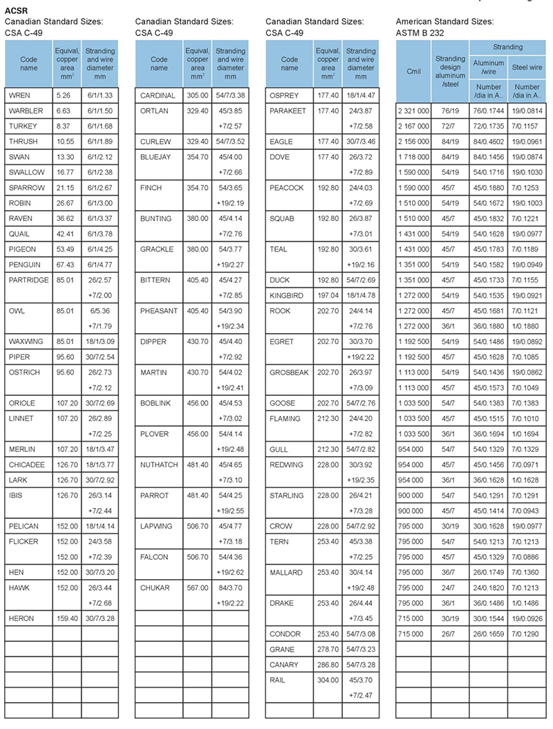
Product information
Prev:
YJV/YJV32 Copper(Aluminum) Conductor XLPE Insulated PVC Sheathed Power...
Next:
ALL ALUMINIUM CONDUCTOR-AAC
LINK TOWER POWER LINE FITTING
CABLE& WIRE
HEAT SHRINKABLE ACCESSORIES
ABC ACCESSORIES
SOLAR SYSTEM
SOLAR STREET LIGHT
INTEGRADE STREET LIGHT
LED STREET LIGHT
LED FLOOD LIGHT
SMART LIGHTING
TRAFFIC LIGHT
PREFORMED LINE FITTING
CUT OUT FUSE LIGHTNING ARRESTER ISOLATING SWITCH POLYMERIC INSULATER
PORCELAIN INSULATOR
TRANSFORMER
SWITCHGEAR & DISTRIBUTION BOX
METER
ELECTRIC TOOLS
CONSTRUCTION TOOLS
NEW ENERGY
INSULATOR